• Предмет: Математика
  • Автор: annasolntseva12
  • Вопрос задан 3 года назад

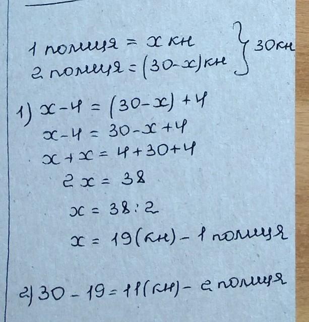
на двох полицях разом - 30 книжок. якщо переставити 4 книжки з першої полиці на другу , то книжок на полицях стане порівну. скількі книжок на кожній полиці?
С обьяснениям пожалуйста

Ответы

Ответ дал: MarinaSkorina
0

Ответ:

19 кн и 11 кн. Ответ в фото.

Приложения:
Вас заинтересует