Ответы
Ответ дал:
2
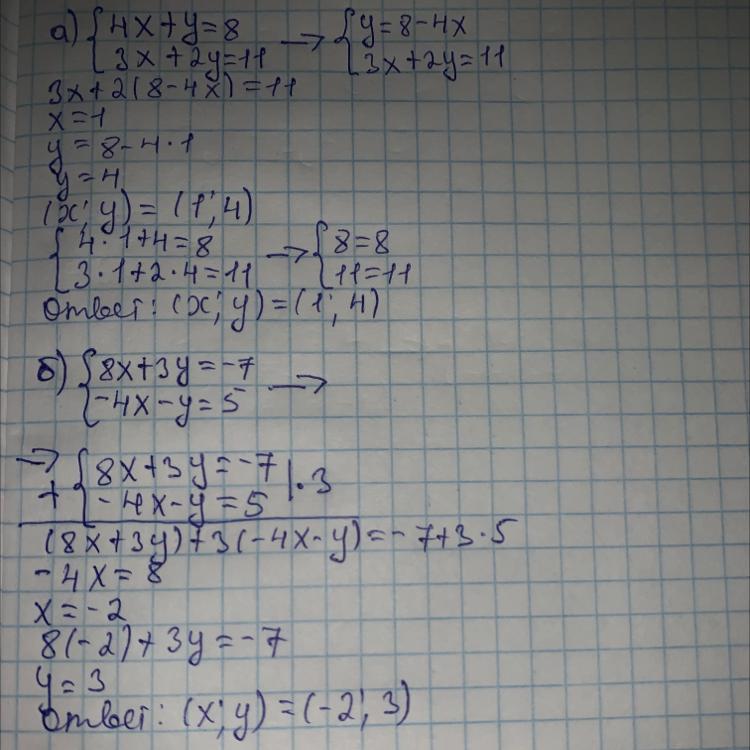
Ответ на фото....:))
Приложения:

maksdaniel024:
спасибо большое такой красивый почирк
Вас заинтересует
2 года назад
2 года назад
8 лет назад