• Предмет: Алгебра
  • Автор: Аноним
  • Вопрос задан 3 года назад

УМОЛЯЮ ПОМОГИТЕ У МЕНЯ СОР ПРОШУУУУ С РЕЩЕНИЕМ ПРОШУУУВ​

Приложения:

Ответы

Ответ дал: Аноним
0

Ответ:

Объяснение:

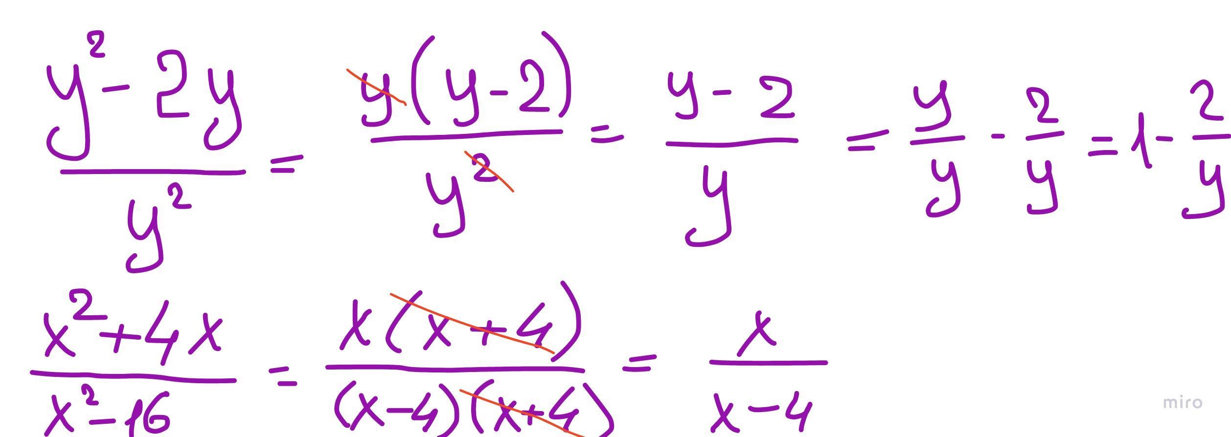
а)

у(у-2)/ у²=(у-2)/у.

б)

х(х+4)/ (х+4)(х-4)=х/(х-4).

Ответ дал: korykina67
0

Ответ:

фото

Объяснение:

Приложения:
Вас заинтересует