Ответы
Ответ дал:
0
Ответ:
скорее всего как-то так
Приложения:

Ответ дал:
1
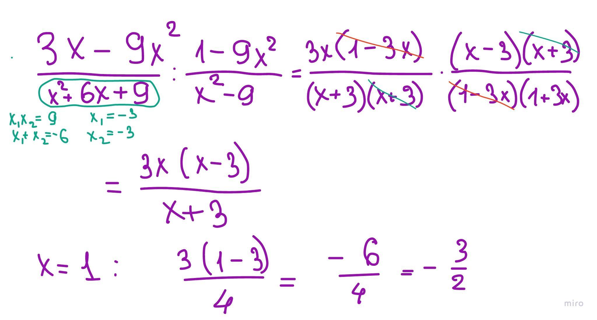
Ответ:
-3/2
Объяснение:
Приложения:

Вас заинтересует
2 года назад
2 года назад
8 лет назад
8 лет назад
9 лет назад