• Предмет: Алгебра
  • Автор: Аноним
  • Вопрос задан 3 года назад

Алгебра 7 Класс 25 баллов ​

Приложения:

Ответы

Ответ дал: 55555555552187
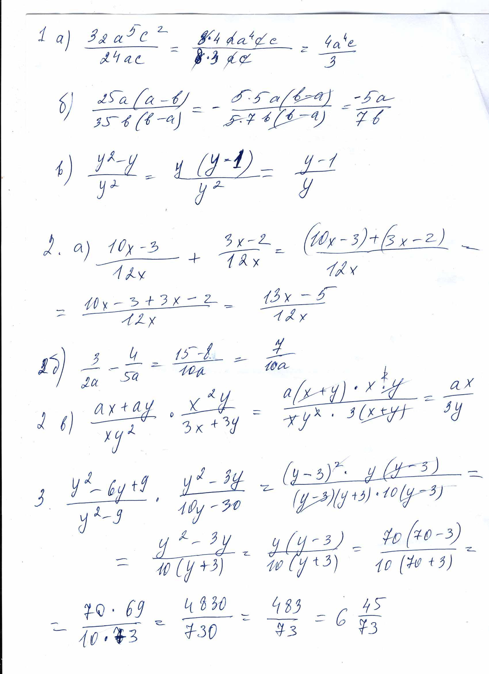
1

Ответ:

смотри ниже

Объяснение:

приложение

Приложения:
Вас заинтересует