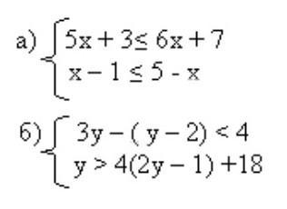
Решить систему неравенств . Решение показать на числовом луче и записать ответ
( Примеры на фотографии)
Приложения:

FlyTheSky1:
скачай приложение photomath, там такое решается, я пробовала
Ответы
Ответ дал:
0
Ответ:
Пошаговое объяснение:
Приложения:

Вас заинтересует
2 года назад
2 года назад
2 года назад
2 года назад
8 лет назад
8 лет назад
9 лет назад
9 лет назад