• Предмет: Математика
  • Автор: 21312Nick
  • Вопрос задан 3 года назад

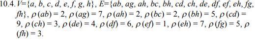
Найдите минимальный остов графа G=(E, V) с весовой функцией
p с помощью алгоритма Краскалла.

Приложения:

Ответы

Ответ дал: salamdayi214
0

Ответ:

потому что v=nt-ty

Пошаговое объяснение:

yfh=kjghh-gx

Вас заинтересует