Ответы
Ответ дал:
0
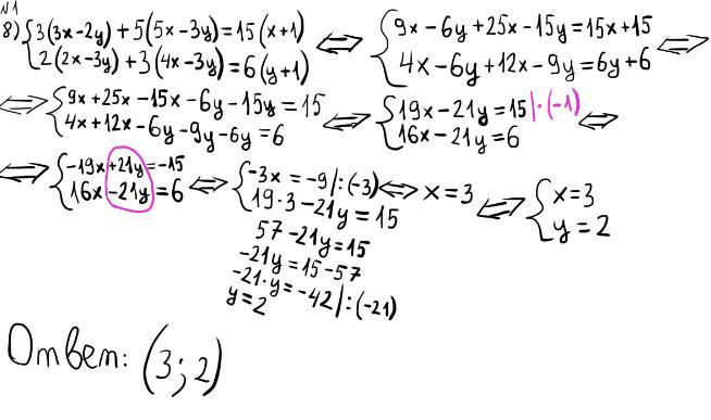
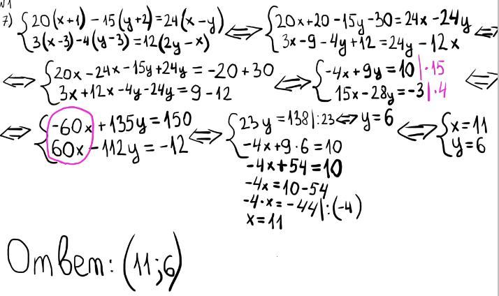
Прости, как решать второе задание забыла
Приложения:


Вас заинтересует
2 года назад
2 года назад
2 года назад
8 лет назад
8 лет назад
9 лет назад
9 лет назад