Ответы
ответ:
- 7.В
- 8.А
- 9.Г
- 10.Б
объяснение:

7.Функция у=-х²+2х-3 убывает на промежутке [1;+∞) т.к. ее производная
-2х+2<0 при х>1, кроме того, эта функция непрерывна в точке х=1.
Верный ответ В
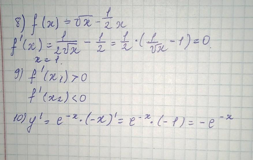
8. Критические точки - это внутренние точки области определения, в которых производная не существует или равна нулю. производная
равна 1/(2√х)-1/2, она не существует в точке х=0, хотя областью определения функции является х∈[0;+∞), однако х=0 - не является критической, т.к. она не является внутренней точкой области определения. 1/(2√х)-1/2=0⇒√х=1; х=1
Верный ответ А
9. В точке х₁ функция возрастает, (здесь производная положительна), а в точке х₂ убывает (тут производная отрицательна), а всякое положительное число больше всякого отрицательного, значит, верным будет ответ Г
10. у'=(e⁻ˣ)'=e⁻ˣ*(-x)'=-1*e⁻ˣ=-e⁻ˣ
Верный ответ Б