• Предмет: Математика
  • Автор: fhiigcxsd
  • Вопрос задан 3 года назад

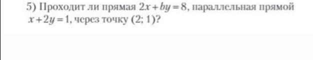
помогите пожалуйста зайкиииии,мне очень нужна ваша помощь :((( отдаю 25 баллов

Приложения:

Ответы

Ответ дал: 55555555552187
0

Ответ:

нет

Пошаговое объяснение:

так как если в функцию подставить координаты точки, то получим не верное равенство, значит точка с такими координатами не может лежать на этой прямой

2+2*2≠1

Вас заинтересует