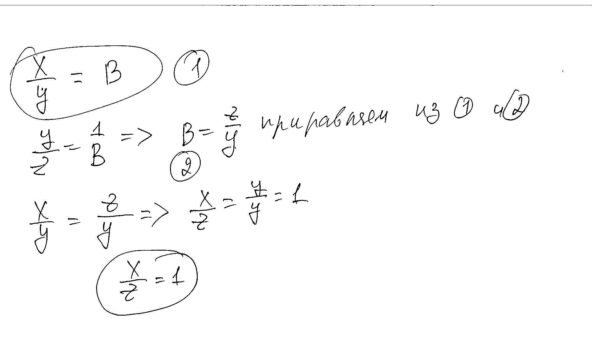
Если x/y = B, y/z = 1/B, то чему равно x/z?
Приложения:

xacku2020:
еще можно почленно перемножить правые и левые части И СРАЗУ получим 1
Ответы
Ответ дал:
19
Ответ: х/z = 1
Красивая задача.
Объяснение:
Нужно избавиться от лишнего, а лишнее здесь В.
Решение во вложении
Приложения:

Ответ дал:
4
Відповідь:
X/Z = 1
Пояснення:
Х = Y×B
Z = Y×B
X/Z = 1
Вас заинтересует
2 года назад
2 года назад
2 года назад
2 года назад
8 лет назад
9 лет назад
9 лет назад