помогите решить пожайлуста
Приложения:

hdjdjdjjdjdjdj67:
давай напишу нормально, решено у меня уже
Ответы
Ответ дал:
1
Ответ:
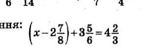
(x-2 7/8)+3 5/6=4 2/3
x-2 7/8+3 5/6=4 2/3
x-2 7/8=4 2/3-3 5/6
x-2 7/8=5/6
x=5/6+ 2 7/8
x=89/24
или 3 17/24
Пошаговое объяснение:
Вас заинтересует
2 года назад
2 года назад
2 года назад
2 года назад
9 лет назад