• Предмет: Алгебра
  • Автор: swetasergij
  • Вопрос задан 3 года назад

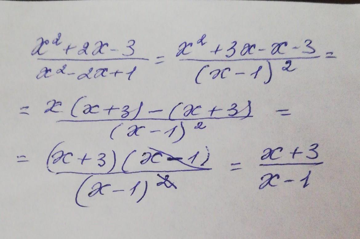
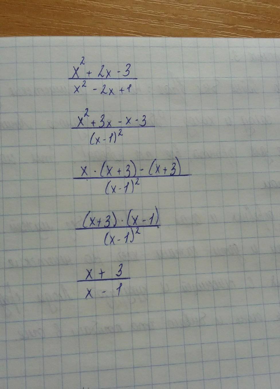
Скоротіть дріб х²+2х-3/х²-2х+1

Ответы

Ответ дал: serovaksusa1
0

Ответ:

Смотри решение на фото

Приложения:
Ответ дал: theymohety
0

Ответ на фото

•••••••••••••••••••

Приложения:
Вас заинтересует