• Предмет: Алгебра
  • Автор: lizastrijska
  • Вопрос задан 3 года назад

Розв'яжіть рівняння методом заміни змінних
Терміново допоможіть!!

Приложения:

Ответы

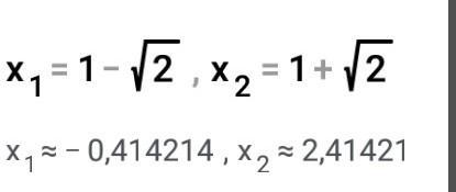
Ответ дал: romanukoleksandra8
0

Ответ:

  • привет надеюсь помогла
Приложения:
Вас заинтересует