• Предмет: Математика
  • Автор: rr186156
  • Вопрос задан 3 года назад

пожалуйста помогите ​

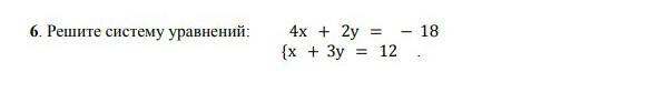
Приложения:

Ответы

Ответ дал: pushpull
1

Ответ:

Пошаговое объяснение:

\displaystyle \left \{ {{4x+2y=-18} \atop {x+3y=12\hfill}} \right. \left \{ {{4(12-3y)+2y=-18} \atop {x=12-3y\hfill}} \right. \left \{ {{y=6\hfill} \atop {x=-6}} \right.


rr186156: спасибо
pushpull: пожалуйста -))
Вас заинтересует