• Предмет: Алгебра
  • Автор: makstimohin1
  • Вопрос задан 3 года назад

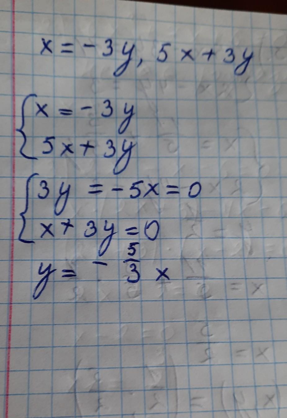
Срочно :решите систему уравнений методом подстановки x=-3y,5x+3y​

Ответы

Ответ дал: fairyofknowledge
1

Ответ:

думаю так

Объяснение:

..............

Приложения:
Вас заинтересует