• Предмет: Алгебра
  • Автор: vitosis
  • Вопрос задан 3 года назад

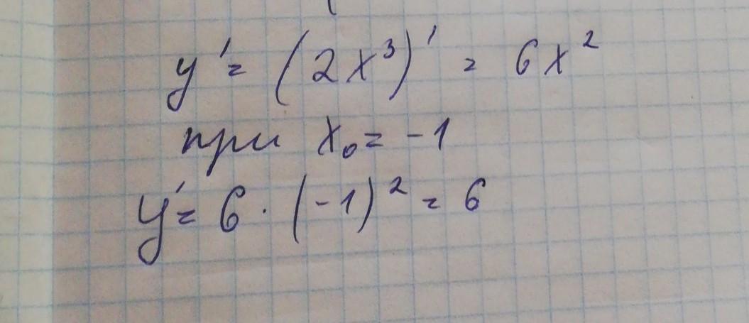
обчисліть значення похідної функції y=2x^3 у точці x0=-1

Ответы

Ответ дал: daneliya120304
4

Объяснение:

......................

Приложения:
Вас заинтересует