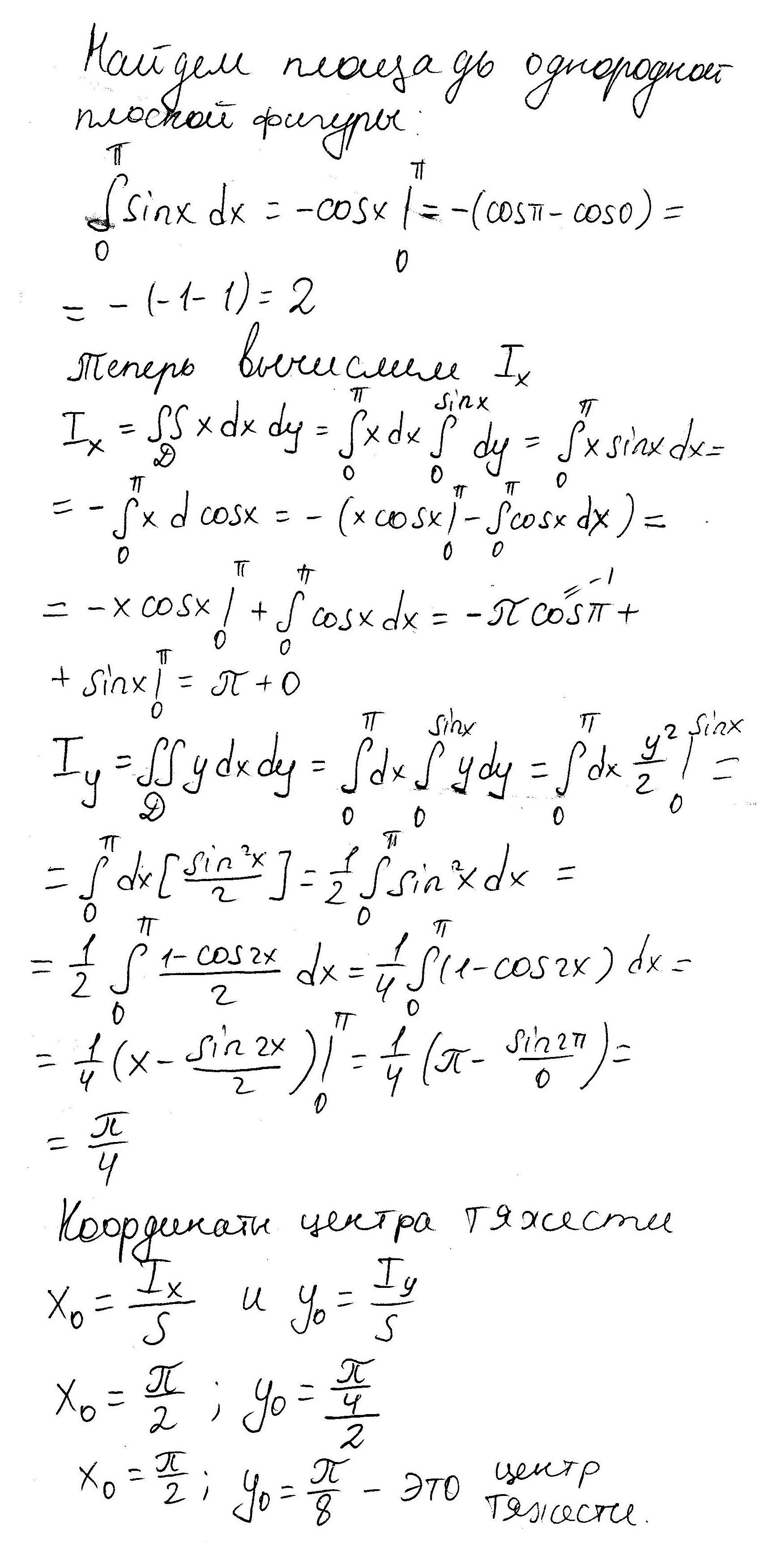
Найти координаты центра веса однородной плоской фигуры, ограниченной дугой синусоиды y=sin x и отрезком вехе Ox от x1=0 к x2=п (число пи).
bearcab:
Матан вообще-то и теоремы Гульдена
Ответы
Ответ дал:
7
Объяснение:
Ответ:
https://znanija.com/task/44616836?utm_source=android&utm_medium=share&utm_campaign=question
Ответ дал:
7
Ответ:
координаты центра тяжести
Объяснение:
Решение в приложении
Приложения:

https://znanija.com/task/44616836?utm_source=android&utm_medium=share&utm_campaign=question
Вас заинтересует
2 года назад
2 года назад
8 лет назад
8 лет назад
9 лет назад