• Предмет: Алгебра
  • Автор: LivBan
  • Вопрос задан 3 года назад

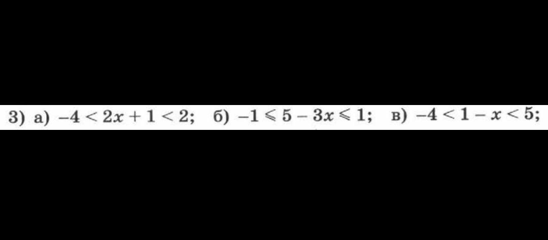
Помогите пожалуйста срочно с алгеброй 8 класс. Даю 25 баллов

Приложения:

Ответы

Ответ дал: veronikaigorova2000
0

Ответ:

A) -5x

B)-8

Б)7x.....

.....

Вас заинтересует