• Предмет: Алгебра
  • Автор: lebedevado
  • Вопрос задан 3 года назад

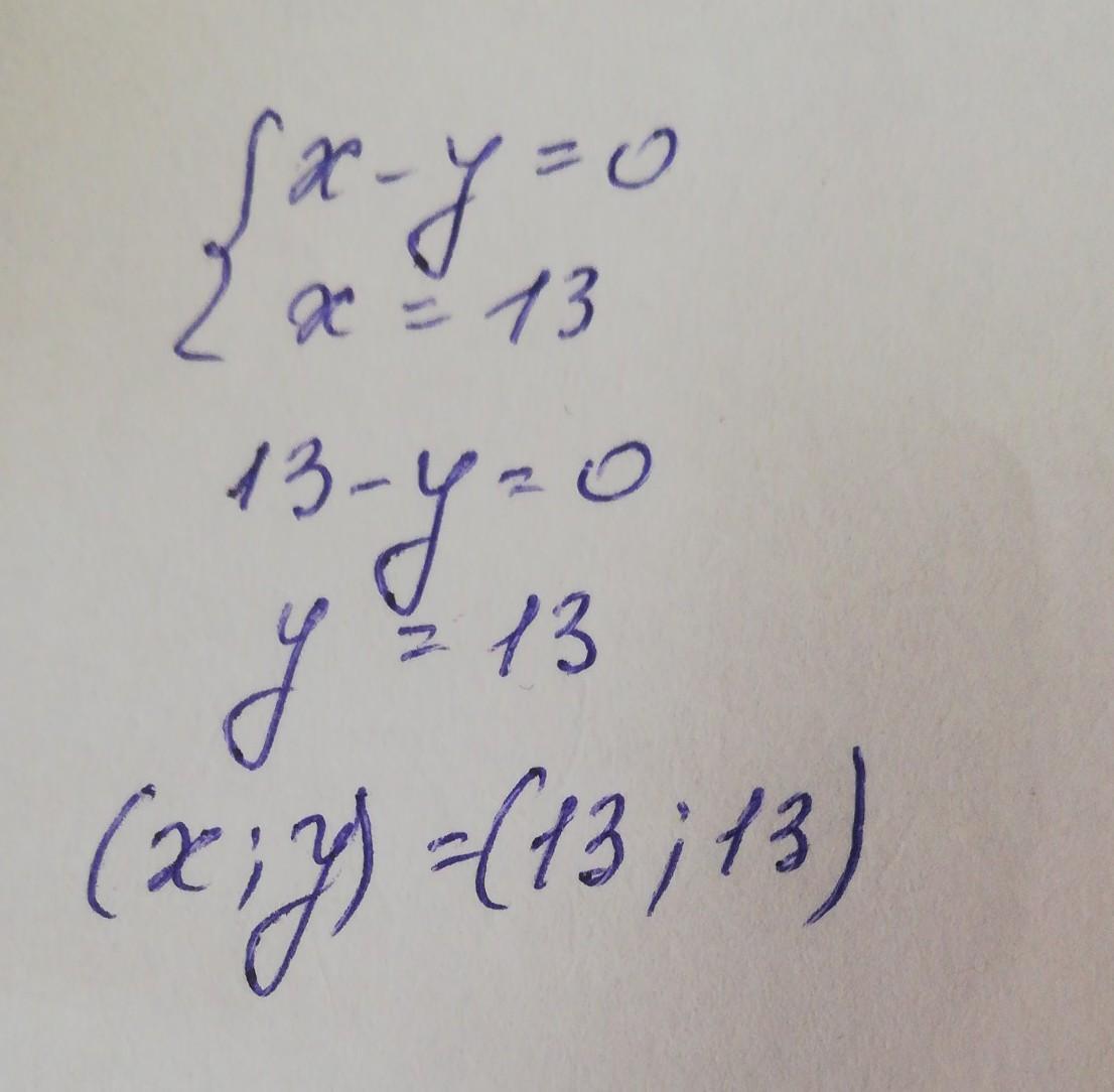
Реши систему: {x−y=0x=13

Ответы

Ответ дал: serovaksusa1
1

Ответ:

Смотри решение на фото

Приложения:
Вас заинтересует