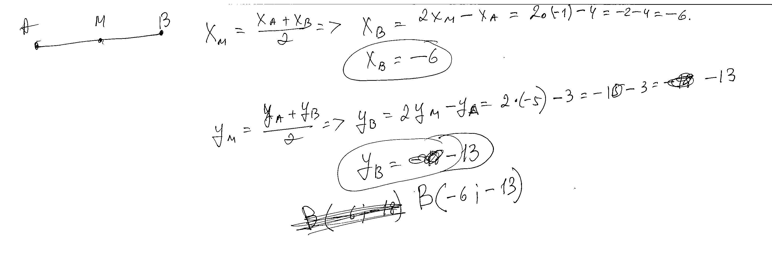
Найдите координаты точки В, если даны координаты следующих точек: А(4; 3), M(-1; -5) если точка M является серединой отрезка AB. используйте формулу: x1+x2/2; y1+y2/2
Ответы
Ответ дал:
15
Ответ: В(-6;-13)
Объяснение:
во вложенном файле
Приложения:

pomogite9298302:
ПРИВЕТ\
Вас заинтересует
2 года назад
2 года назад
2 года назад
2 года назад
8 лет назад
8 лет назад