• Предмет: Геометрия
  • Автор: dayana24sh
  • Вопрос задан 3 года назад

40 баллов за ответ с объяснением варианта.
модуль вектора​

Приложения:

Аноним: Какое задание?
dayana24sh: оба

Ответы

Ответ дал: hilkoandrey25
2

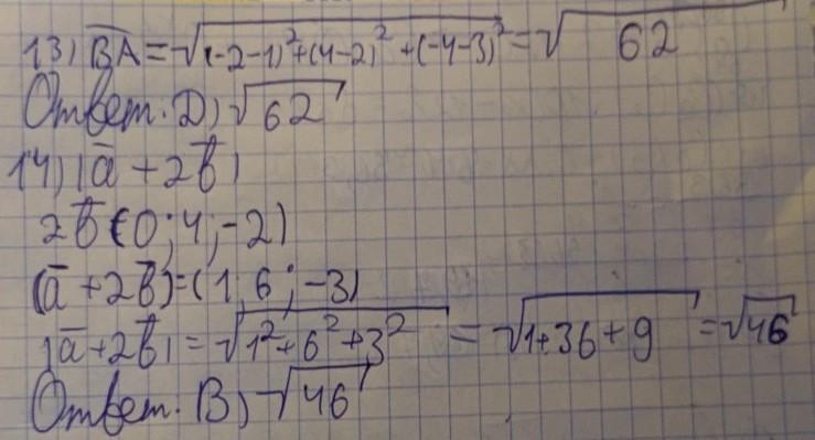
Решение предоставлено на изображении.

Приложения:

dayana24sh: сможешь решить другие задачки?)
hilkoandrey25: конечно
dayana24sh: если зайдешь в мои вопросы есть продолжение этих задач. там дается 46 баллов, честно
dayana24sh: там нужно решить только 15и 17 заранее спасибо ☺
dayana24sh: жаль что не решил(
Вас заинтересует