• Предмет: Математика
  • Автор: Nikoljan
  • Вопрос задан 3 года назад

Ребята помогите пожалуйста

Прямая проходит через точки (1,-3),(3,5). Нужно найти угловой коэффициент этой прямой.​​​

Ответы

Ответ дал: sergeevaolga5
1

Ответ:

4

Пошаговое объяснение:

(1;-3), (3;5)

x₁=1, y₁= -3, x₂=3, y₂=5

Формула уравнения прямой походящей через две данные точки имеет вид:

\frac{x-x_1}{x_2-x_1}=\frac{y-y_1}{y_2-y_1}

В нашем случае, это будет уравнение

\frac{x-1}{3-1}=\frac{y-(-3)}{5-(-3)}\\\\\frac{x-1}{2}=\frac{y+3}{8}|*2\\\\\frac{x-1}{1}=\frac{y+3}{4}\\\\y+3=4(x-1)\\\\y+3=4x-4\\\\y=4x-4-3\\\\y=4x-7\\\\k=4

Итак, угловой коэффициент прямой, проходящей через точки (1;-3) и  (3;5) равен 4


Nikoljan: спасибо большое
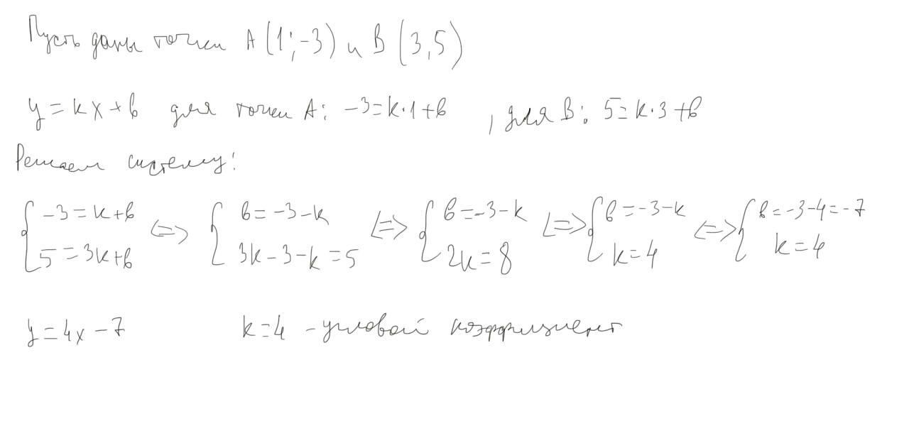
Ответ дал: Warlock1
1

Ответ:

k=4

Пошаговое объяснение:

Один из вариантов решения:

Приложения:

Nikoljan: спасибо большое
Вас заинтересует