• Предмет: Химия
  • Автор: Obazauklubniku17
  • Вопрос задан 3 года назад

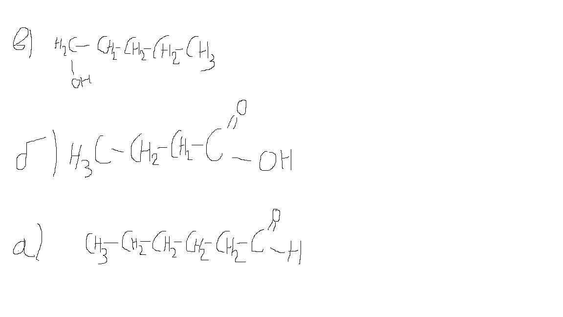
Напишите структурные формулы следующих соединений:
а) хекданалио.
б) бутановая кислота.
в) пентанол.


OSKOLtRAIN: хекаданалио это какая-то ошибка
Obazauklubniku17: гексаналь
OSKOLtRAIN: сейчас

Ответы

Ответ дал: OSKOLtRAIN
1

Ответ:

Ответ во вложении

Объяснение:

Приложения:

Obazauklubniku17: Большое спасибо
OSKOLtRAIN: не за что !
Вас заинтересует