• Предмет: Математика
  • Автор: eorazbaev1107
  • Вопрос задан 3 года назад

Пожалуйста помогите! Я дам 25 баллов!

Приложения:

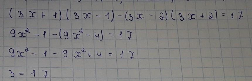
Ответы

Ответ дал: meserovrudik
2

удачи тебе ......................

Приложения:

eorazbaev1107: Спасибо!
meserovrudik: не за что
Вас заинтересует