Ответы
Ответ дал:
4
Ответ:
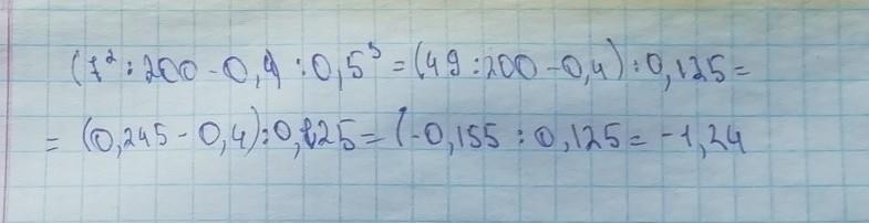
-1,24
Пошаговое объяснение:
- 7 в квадрате =49
- 0,5в кубе =0,125
Приложения:

natalyagrizunkova:
Как раз вовремя!
Ответ дал:
1
Ответ:
−1,24
Пошаговое объяснение:
Приложения:

Вас заинтересует
2 года назад
2 года назад
2 года назад
8 лет назад
8 лет назад
9 лет назад