• Предмет: Алгебра
  • Автор: Аноним
  • Вопрос задан 3 года назад

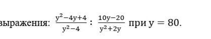
найдите значение выражения​

Приложения:

Ответы

Ответ дал: irina555556
1

Ответ:

 \frac{y {}^{2} - 4y + 4 }{ {y}^{2}  - 4}  \div  \frac{10y - 20}{ {y}^{2}  + 2y}  =  \frac{ {(y - 2)}^{2} }{(y - 2)(y + 2)}  \div  \frac{1 0(y - 2)}{y(y + 2)}  =  \frac{ {(y - 2)}^{2} \times y(y + 2) }{(y  - 2)(y + 2) \times 10(y - 2)}  =  \frac{y}{10}

Если у=80, то

 \frac{y}{10}  =  \frac{80}{10}  = 8

Ответ: 8.


Аноним: спасибо
Вас заинтересует