• Предмет: Математика
  • Автор: neskazhuka81
  • Вопрос задан 3 года назад

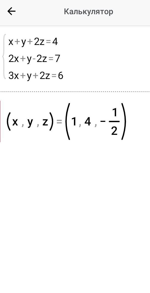
x+y+2z=4;
2x+y-2z=7;
3x+y+2z=6

Ответы

Ответ дал: Ibrohim777
0

Ответ:

вот сделал с photomath .

Приложения:
Вас заинтересует