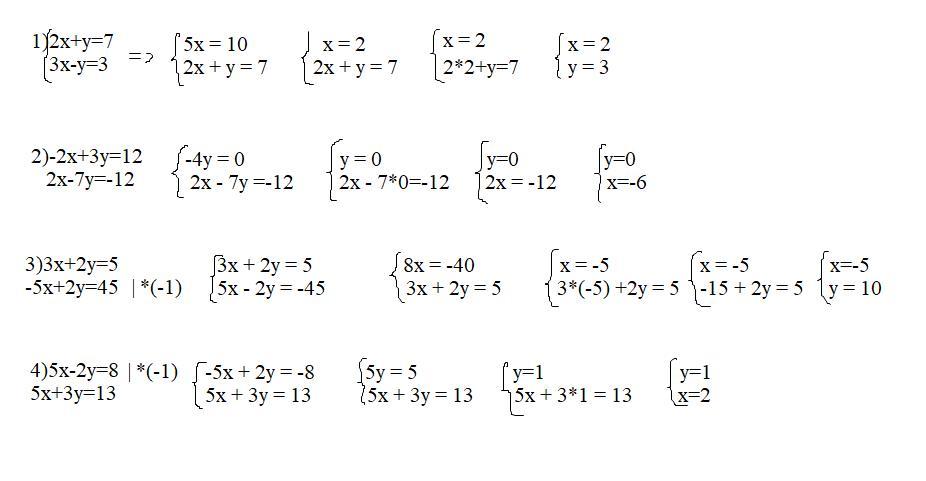
розв'язати систему способом додавання
1)2x+y=7
3x-y=3
2)-2x+3y=12
2x-7y=-12
3)3x+2y=5
-5x+2y=45
4)5x-2y=8
5x+3y=13
Ответы
Ответ дал:
1
Ответ:
Решение здесь.......
Объяснение:
Приложения:

Вас заинтересует
2 года назад
2 года назад
2 года назад
2 года назад
8 лет назад