• Предмет: Алгебра
  • Автор: ediyesunny
  • Вопрос задан 3 года назад

Даю 13 баллов!
Помогите, пожалуйста с алгеброй!

Приложения:

Ответы

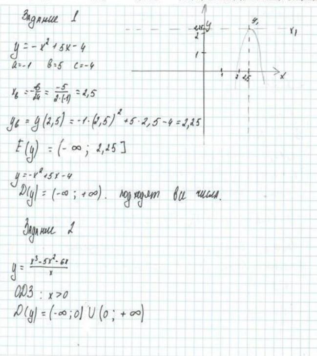
Ответ дал: imrantairov49
1

Ответ:

3 Я не могу найти

ьсгжсбиведвдпвбрардчдрвожаожсоажпдрмвдснда

Приложения:

ediyesunny: Спасибо!
imrantairov49: не за что
Вас заинтересует