• Предмет: Алгебра
  • Автор: Sv1narnik
  • Вопрос задан 3 года назад

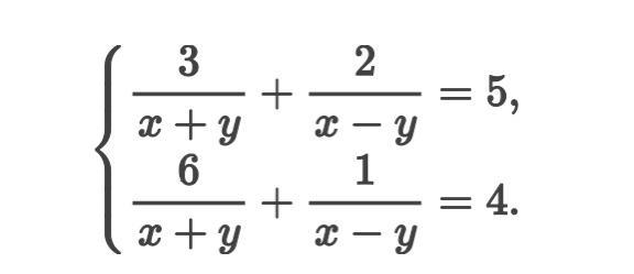
Решите систему уравнений.

В ответ запишите сумму полученной пары чисел.

Приложения:

Ответы

Ответ дал: amanda2sempl
0

Домножим второе уравнение на 2 и вычтем из первого второе:

\frac{3}{x+y} + \frac{2}{x-y} - (\frac{12}{x+y} + \frac{2}{x-y}) = 5 - 4*2\\

\frac{3}{x+y} + \frac{2}{x-y} - \frac{12}{x+y} - \frac{2}{x-y} = 5-8                              \\\frac{-9}{x+y} = -3\\x+y = -9/(-3)\\x+y = 3

x + y = 3 →

\frac{3}{x+y} + \frac{2}{x-y} = 5\\\frac{3}{3} + \frac{2}{x-y} = 5\\ \frac{2}{x-y} = 5 - 1 = 4\\x-y = 2/4 = 0,5

Получаем систему (которую решим методом сложения)

\left \{ {{x + y=3} \atop {x - y = 0,5}} \right. \\x + y + x - y = 3 + 0,5\\2x = 3,5\\x = 1,75

у = 3 - 1, 75 = 1,25. Сумма полученной пары = x + y = 3. Ответ: 3

Ответ дал: Universalka
1

\left \{ {{\frac{3}{x+y}+\frac{2}{x-y} =5|*(-2) } \atop {\frac{6}{x+y}+\frac{1}{x-y}=4}} \right.\\\\+\left \{ {{-\frac{6}{x+y}-\frac{4}{x-y} =-10 } \atop {\frac{6}{x+y}+\frac{1}{x-y}=4}} \right.\\---------\\ -\frac{3}{x-y}=-6\\\\x-y=\frac{-3}{-6}\\\\x-y=\frac{1}{2} \\\\\frac{3}{x+y}=5-\frac{2}{x-y}\\\\\frac{3}{x+y}=5-\frac{2}{\frac{1}{2} } \\\\\frac{3}{x+y}=5-4\\\\\frac{3}{x+y} =1\\\\\boxed{x+y=3}

.


amanda2sempl: не тот ответ признали лучшим
Вас заинтересует