Ответы
Ответ дал:
1
Ответ:
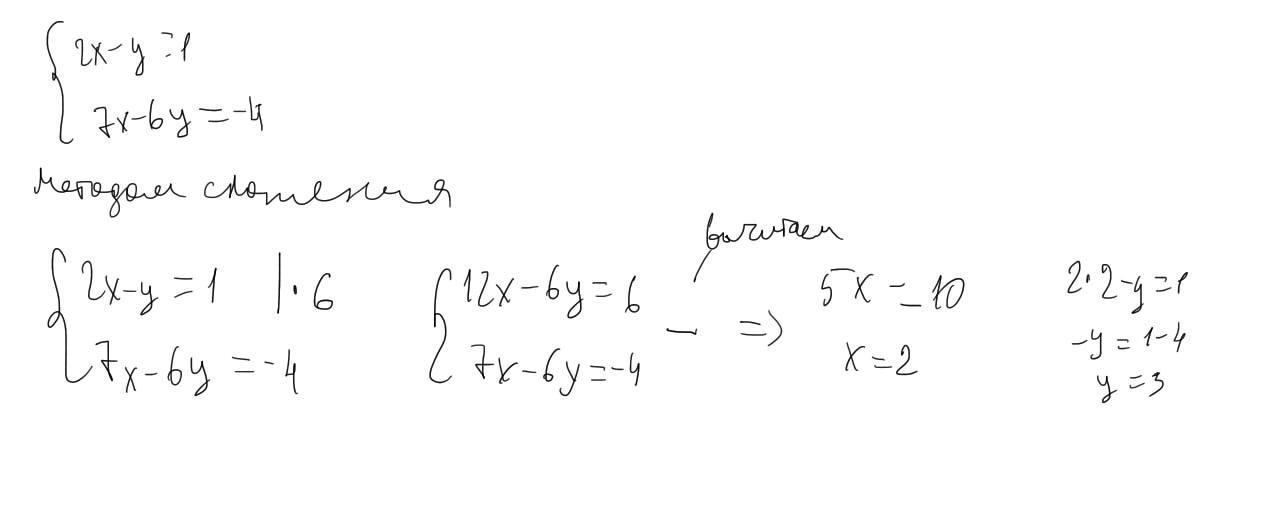
одним из методов
Объяснение:
Приложения:

dasavorona5:
спасибо
Вас заинтересует
2 года назад
2 года назад
2 года назад
2 года назад
9 лет назад