• Предмет: Геометрия
  • Автор: vi249676
  • Вопрос задан 3 года назад

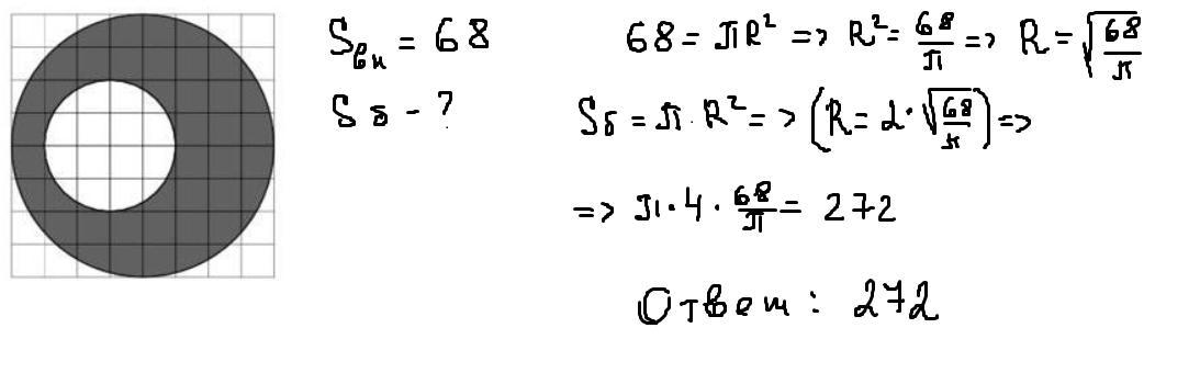
На клетчатой бумаге изображены два круга. Площадь внутреннего круга равна 68. Найди площадь заштрихованной фигуры.

Приложения:

Ответы

Ответ дал: esmilya
4

Если понравилось решение - нажимай "спасибо" и "лучший" (рядом с кнопкой "спасибо") :)

Приложения:
Вас заинтересует