• Предмет: Алгебра
  • Автор: semslim390
  • Вопрос задан 3 года назад

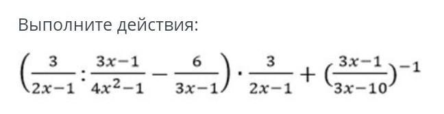
6.Выполните действия:​

Приложения:

Ответы

Ответ дал: rinatovanazima01
0

Ответ:

ответ на рисунке начало начинается с правой стороны 1 рисунок

Приложения:

aiymtulkibayeva: чо
aiymtulkibayeva: я ниче не понял
Вас заинтересует