Ответы
Ответ дал:
1
Ответ:
ответ на фото
Объяснение:
Приложения:

Ответ дал:
1
Ответ: 1.
Объяснение:
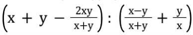
(x+y-2xy/(x+y)) : ((x-y)/(x+y)+y/x)= (x(x+y)+y(x+y)-2xy) : (x(x-y)+y(x+y))=
=(x²+xy+xy+y²-2xy) : (x²-xy+xy+y²) = (x²+y²) : (x²+y²) = 1.
Вас заинтересует
2 года назад
2 года назад
8 лет назад
9 лет назад
9 лет назад