• Предмет: Алгебра
  • Автор: izabela8
  • Вопрос задан 3 года назад

помогите пожалуйста, решите на листочке с объяснением. буду очень благодарна!! ​

Приложения:

Ответы

Ответ дал: NonameTi
0

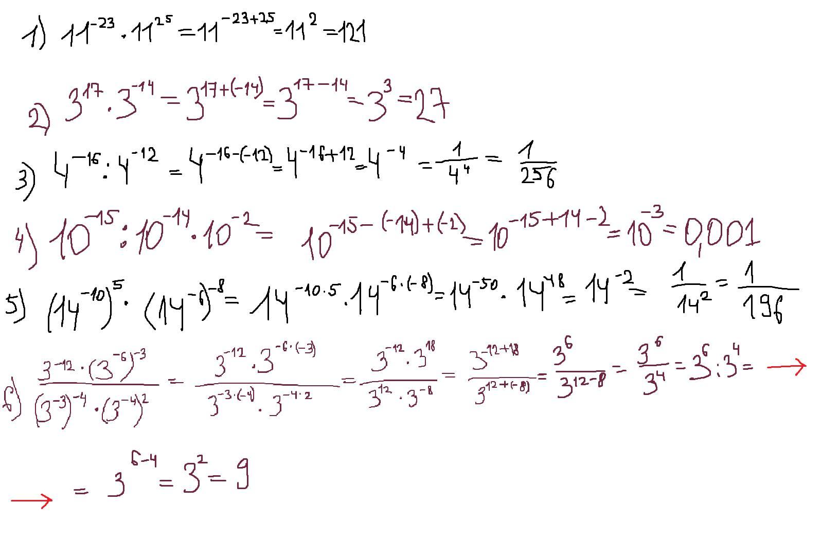
Ответ:

Объяснение:

При умножении степени складываются, при делении вычитаются

Приложения:

izabela8: СПАСИБО ТЕБЕ ОГРОМНОЕ ЗА ПОМОЩЬ!!! ТЫ МНЕ ОЧЕНЬ ПОМОГ(ЛА)
Ответ дал: fatyassirom
0

Ответ:

1 фото - решение

2, 3 фото - памятки

Объяснение:

Приложения:
Вас заинтересует