• Предмет: Алгебра
  • Автор: kopi0kopi
  • Вопрос задан 3 года назад

Помогите пожалуйста

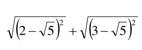
Приложения:

Ответы

Ответ дал: NonameTi
0

Ответ:

Объяснение:

√5-2+3√5=1

Вас заинтересует