Ответы
Ответ дал:
2
Ответ: (3;-2)
Ответ дал:
1
Ответ:
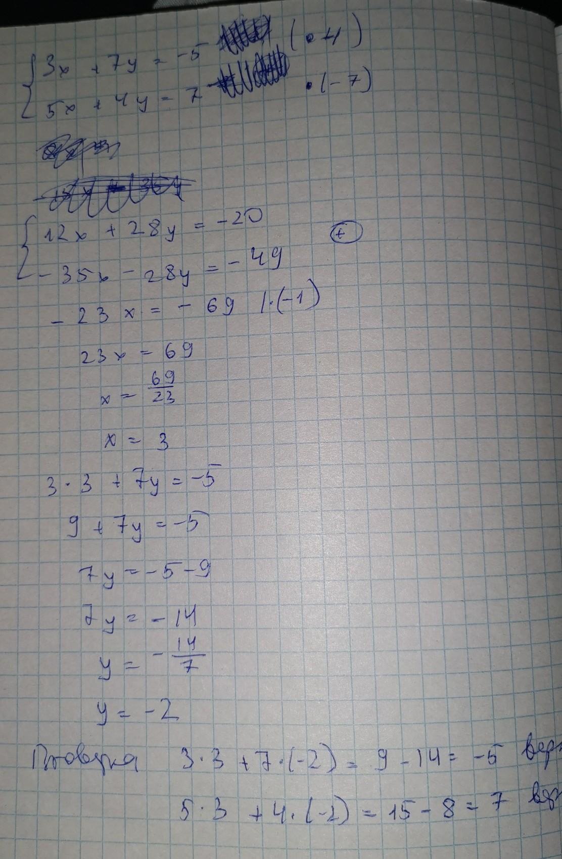
x=3, y=-2
Объяснение:
Домножаем одно из уравнения на необходимые множители, чтобы при сложении уравнений неизвестная y уничтожилась.
Далее складываем уранения, получая уравнение с 1й переменной x. Находим ее и подставляем в любое уравнение из первоначально данных и находим y.
Приложения:

romaska202050:
а у меня вопрос. Почему у 3 и 5 общий знаменатель же 15,нет разве?
Вас заинтересует
2 года назад
2 года назад
2 года назад
8 лет назад
8 лет назад
9 лет назад
9 лет назад