• Предмет: Алгебра
  • Автор: basyrova00
  • Вопрос задан 3 года назад

Алгебра 7 класс задание ниже 10б

Приложения:

Ответы

Ответ дал: Vopoxov
1

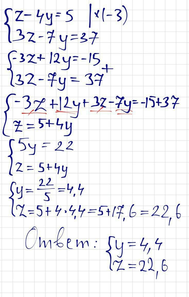
Ответ:

y= 4.4

z = 22.6

Объяснение:

\begin{cases}z - 4y = 5 \:  \:  \:  \:  \bigg |  \times  (- 3) \\ 3z-7y=37 \end{cases}  \\ \begin{cases} - 3z  + 12y =  - 15\\ 3z-7y=37 \end{cases} \:  +  \\ \begin{cases} 5y= 22\\ z  = 5 + 4y  \end{cases} \\ \begin{cases} y=  \frac{22}{5} = 4.4 \\ z  = 5 + 4 \cdot4.4  \end{cases}   \\ \begin{cases} y= 4.4\\ z  = 5 + 17.6  \end{cases}  \\ \begin{cases} y= 4.4\\ z =  22.6  \end{cases}

Приложения:
Ответ дал: MatemaU9
1

Объяснение:

 \begin {cases}z - 4y = 5  \:  \:  \:  \:  | \times ( - 3) \\3 z - 7y = 37\end {cases} \\   \begin {cases} - 3z  + 12y =  - 15 \\  3z - 7y = 37\end {cases} \\ 5y = 22 \\ y =  \frac{22}{5}  = 4.4 \\  \\   - 17.6 + z = 5 \\ z =  \frac{113}{5}  = 22.6 \\  \\  \О \: tvet  :  y = 4.4 \:  \: ;z = 22.6

Вас заинтересует