ПОМОГИТЕ ПЖЖ!!!!!!!!!!!!!!!!!

Запишите данные математические выражения на С++

СРОЧНО​

Приложения:

Ответы

Ответ дал: magisterobivan
2

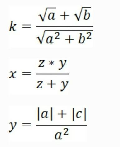
Ответ:

k = (sqrt(a) + sqrt(b))/sqrt(a*a + b*b);

x = (z * y) / (z + y);

y = (abs(a) + abs(c)) / (a * a);

Объяснение:

k = (sqrt(a) + sqrt(b))/sqrt(a*a + b*b); // sqrt - квадратный корень

x = (z * y) / (z + y);

y = (abs(a) + abs(c)) / (a * a); // abs - модуль

Возведения в квадрат нет в С++, заменяем на умножение.


Аноним: спасибо
Вас заинтересует