• Предмет: Алгебра
  • Автор: aninil
  • Вопрос задан 3 года назад

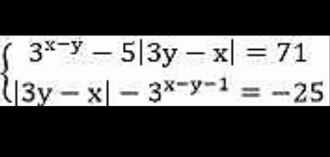
Решить систему уравнений

Приложения:

Ответы

Ответ дал: m11m
0

Ответ:

Объяснение:

!!!!!!!!!!!!!!!!!!!!!!!!!!

Приложения:
Вас заинтересует