• Предмет: Математика
  • Автор: natalkashcheg7
  • Вопрос задан 3 года назад

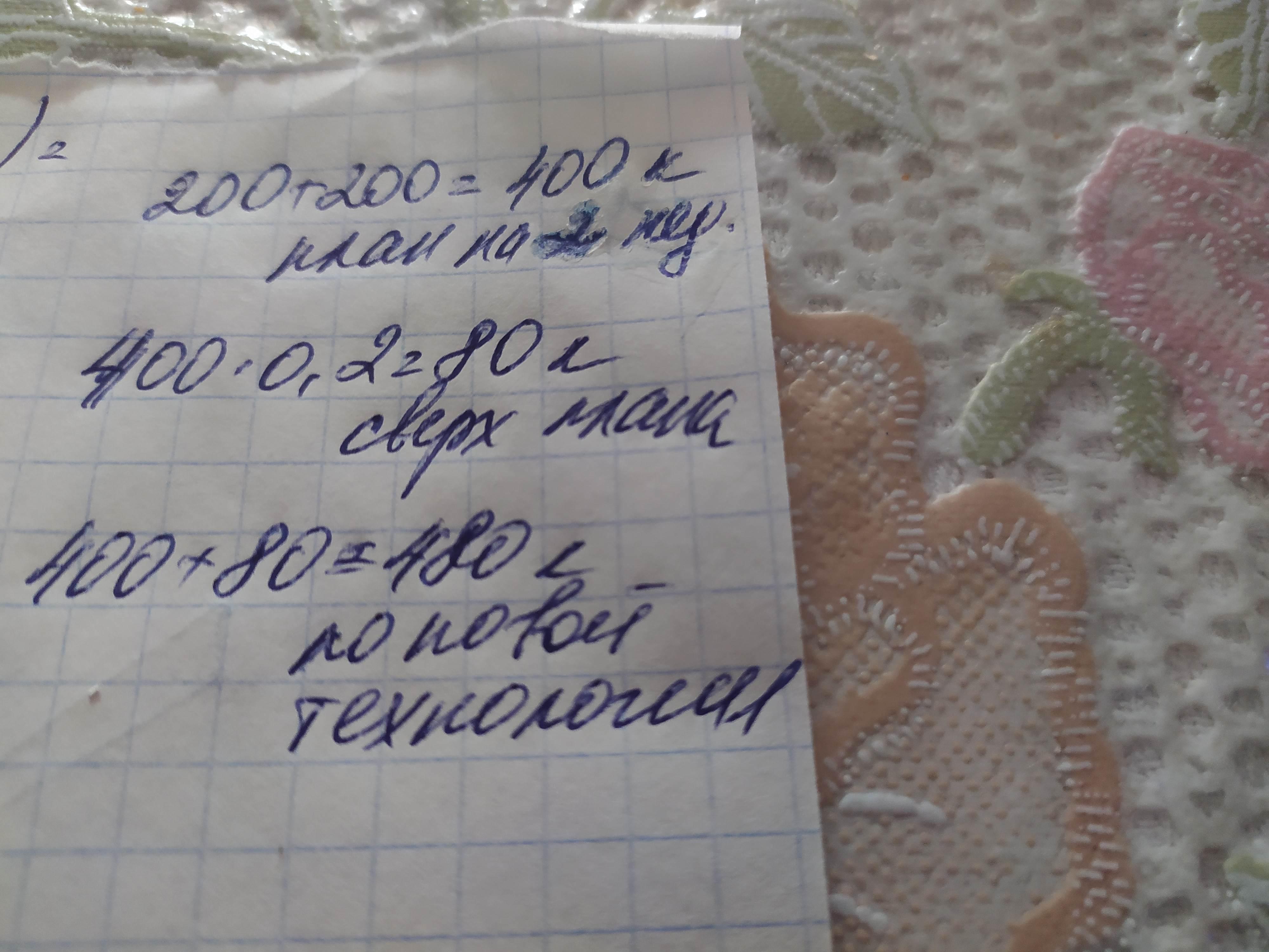
У швейному цеху за тиждень планували пошити 200 костюмів, але
завдяки впровадженню нової технології Пошили на 20 % більше. Скільки
костюмів пошиють у цьому цеху за два тижні завдяки впровадженню
нової технології?

Ответы

Ответ дал: tatsach
8

Ответ:

Пошаговое объяснение:

Приложения:
Вас заинтересует