• Предмет: Алгебра
  • Автор: missoksi2011
  • Вопрос задан 3 года назад

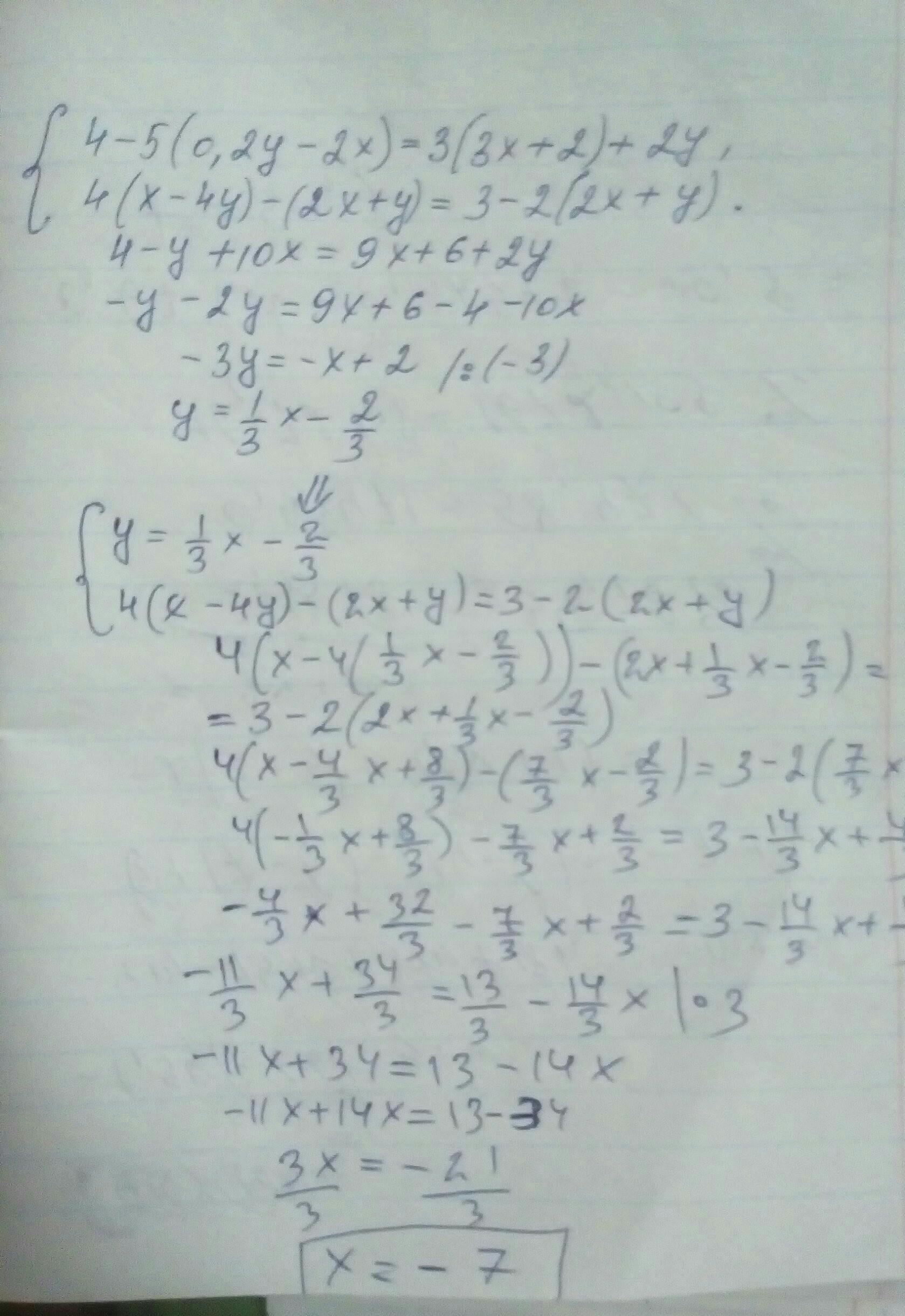
Реши систему уравнений методом подстановки.
4−5(0,2y−2x)=3(3x+2)+2y,
4(x−4y)−(2x+y)=3−2(2x+y).
x=
y=

Ответы

Ответ дал: Аноним
2

Ответ:

В объяснении.

Объяснение:

Фото !!!!!!!!!!!!!!!!!

Приложения:
Вас заинтересует