• Предмет: Математика
  • Автор: vanasana218
  • Вопрос задан 3 года назад

Пожалуйста помогите срочно
Заранее спасибо))
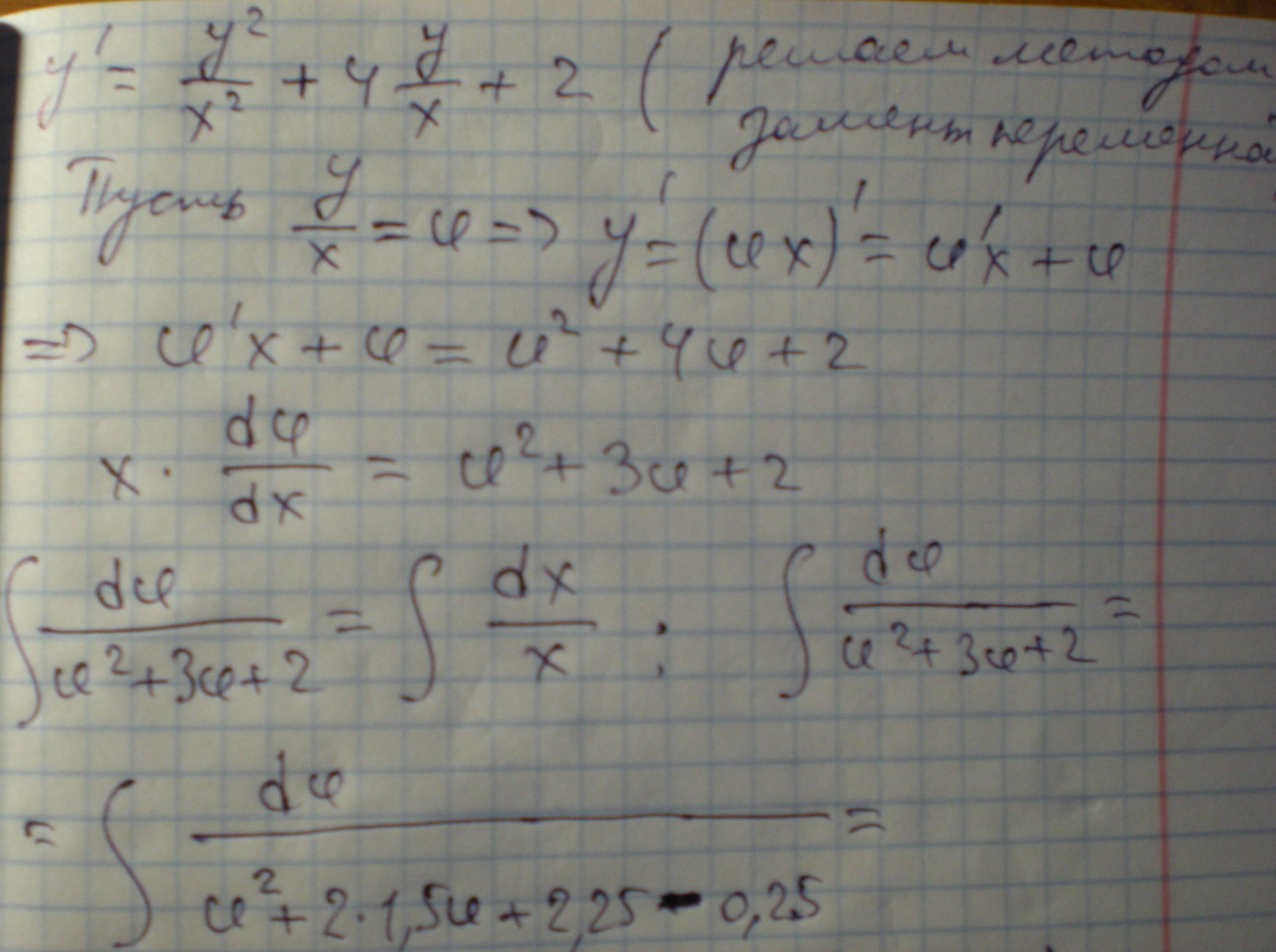
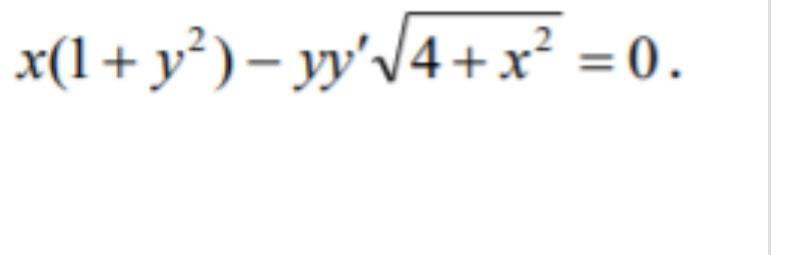
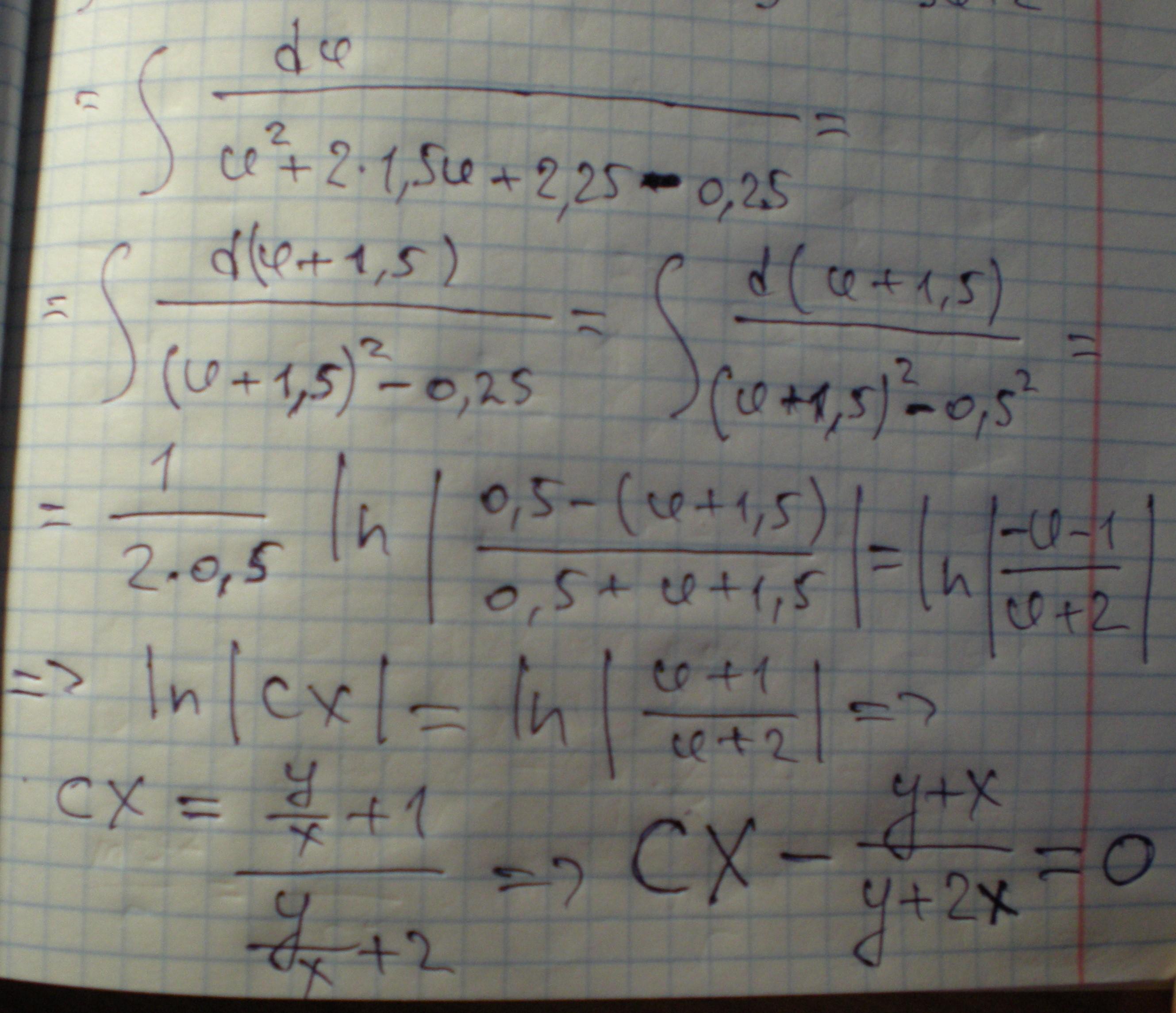
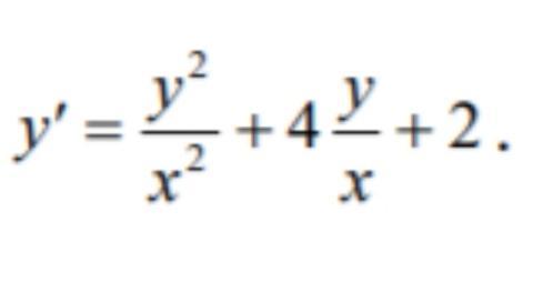
Найти общий интеграл дифференциального уравнения

Приложения:

Ответы

Ответ дал: amanda2sempl
1

Прилагаю фотографии (последняя - дополнение ко второму уравнению)

Приложения:

vanasana218: спасибо большое
vanasana218: можешь ещё помочь пару заданий пж
Вас заинтересует