• Предмет: Математика
  • Автор: Kykyshka77
  • Вопрос задан 3 года назад

Помните пожалуйста математика + геометрия 6 класс!!

Приложения:

Ответы

Ответ дал: Warlock1
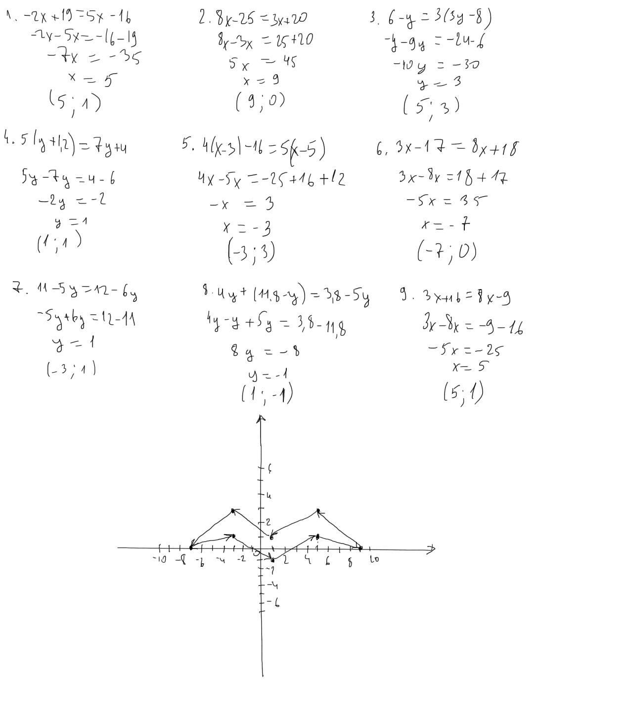
1

Ответ:

как получилось...

Пошаговое объяснение:

Приложения:

Kykyshka77: Спасибо все верно)
Warlock1: это хорошо, просто некрасиво, но лучше не могу, не на чем рисовать и нечем))
Kykyshka77: Да не все хорошо.
Вас заинтересует