• Предмет: Математика
  • Автор: fiesta88
  • Вопрос задан 3 года назад

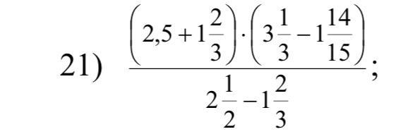
Помогите пожалуйста нужно решить пример

Приложения:

Ответы

Ответ дал: vozleevaea
0
(2,5+1 2/3)*(3 1/3-1 14/15) / 2 1/2-1 2/3 = (5/2+5/3)*(10/3-29/15) / 5/2-5/3= 25/6*7/5 / 5/6 = 5/6*7 / 5/6 = 7
Ответ дал: Fireworld40
0

Ответ:

ответ дан на фотографии

Приложения:
Вас заинтересует