помогите пожалуйста
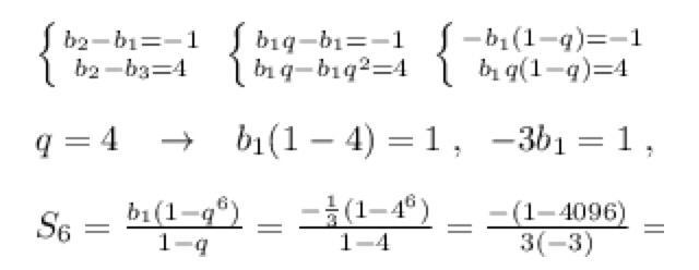
разность между вторым и первым членами геометрической прогрессии равна -1, а разность между вторым и третьим её членами равна 4. чему равно сумма первых шести членов прогрессии?
Ответы
Ответ дал:
0
zzzzzzzzzzzzzzzzzzzzzzzzzzzzzzzzzz
Приложения:
Вас заинтересует
2 года назад
2 года назад
3 года назад
8 лет назад
8 лет назад
10 лет назад
10 лет назад