• Предмет: Математика
  • Автор: ilyakarpushindon
  • Вопрос задан 3 года назад

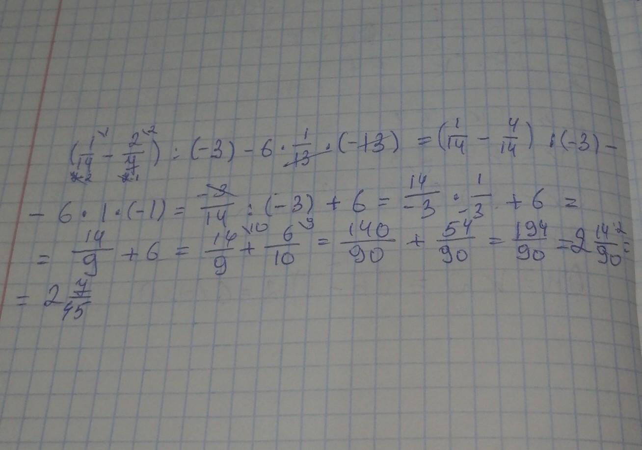
(1/14-2/7)÷(-3)-6 1/13×(-13)​

Ответы

Ответ дал: Alina14malina
0

Пошаговое объяснение:

Я не уверенна, что это правильное решение... :(

Приложения:
Вас заинтересует