• Предмет: Математика
  • Автор: siumesp
  • Вопрос задан 3 года назад

ПОМОГИТЕ ПОЖАЛУЙСТА!!!!​

Приложения:

Ответы

Ответ дал: qshoW
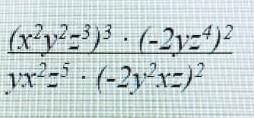
1

Пошаговое объяснение:

=\frac{x^{6}y^{6}z^{9} * 4y^{2}z^{8}}{yx^{2}z^{5}*4y^{4}x^{2} z^{2}} = \frac{4x^{6}y^{8}z^{17}}{4y^{5}x^{4}z^{7}} =|сокращаем| = x^{2} y^{3} z^{10}

Вас заинтересует