• Предмет: Алгебра
  • Автор: Polinaria17
  • Вопрос задан 3 года назад

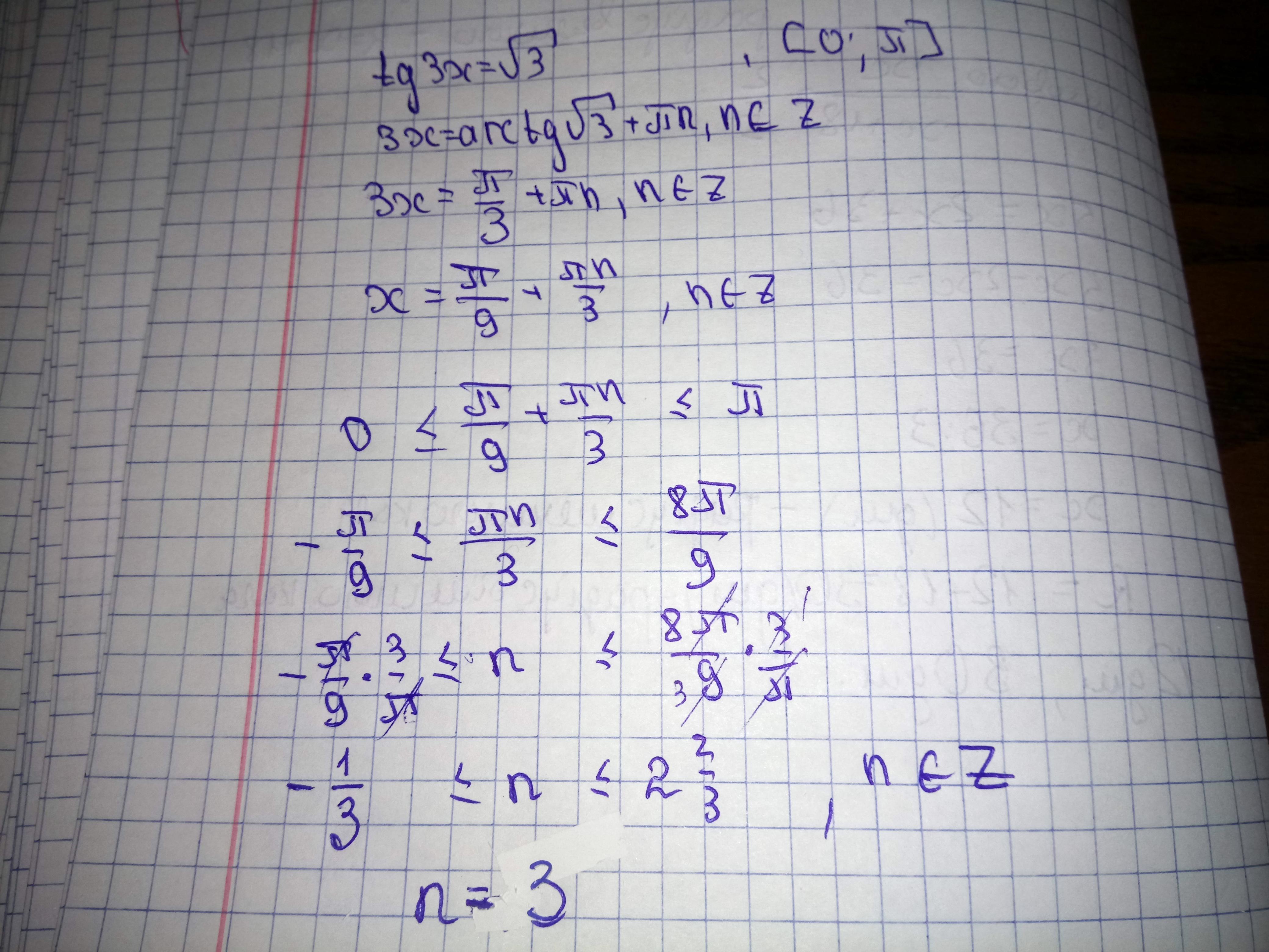
Скільки коренів рівняння tg 3x = √3 належать проміжку [0; π]?

Ответы

Ответ дал: Аноним
1

n=3

Решение задания прилагаю

Приложения:
Вас заинтересует